2026, 42(1):1-9. DOI: 10.13652/j.spjx.1003.5788.2025.80424
摘要:目的 探究芥酸含量对浓香菜籽油风味特征的影响,明确其关键呈香物质及作用机制。方法 以11种不同芥酸含量的市售浓香菜籽油为对象,测定其脂肪酸组成和基本理化指标(酸价、过氧化值和色泽),利用电子鼻技术结合顶空固相微萃取—气相色谱—质谱联用技术(HS-SPME-GC-MS)对各样品中的挥发性风味物质进行了定性分析,根据相对气味活度值筛选关键呈香物质,对比不同芥酸含量样品的风味差异。结果 11种样品的理化指标均符合国家标准。样品间的W1W(硫化物)和W2W(有机硫化物)传感器信号差异显著,说明硫化物在菜籽油风味识别方面起主要作用。HS-SPME-GC-MS共鉴定出114种挥发性化合物,根据相对香气活度值筛选出30种关键呈香物质,其中高芥酸菜籽油中硫代葡萄糖苷的降解产物(如3-丁烯腈、甲基烯丙基氰化物、2,4-戊二烯腈、苯代丙腈等)含量更高,赋予其更强烈的辛辣风味。而低芥酸菜籽油中的主要呈香物质为己醛,呈现出明显的青草和水果风味。结论 高芥酸油因硫化物富集呈现出强烈辛辣风味,低芥酸油因己醛优势表达青草果香。
2026, 42(1):10-20. DOI: 10.13652/j.spjx.1003.5788.2025.80636
摘要:目的 针对油茶籽油传统分提工艺存在局限的问题,开发一种基于结晶动力学理论的熔融层结晶新工艺。方法 以油茶籽油原油为原料,通过激光散射法测定其介稳区宽度与成核诱导期,结合差示扫描量热法分析其高熔点组分的热特性。在此基础上,设计熔融层结晶梯度降温分提工艺,并对比分析结晶前后油茶籽油的脂肪酸组成、脂质组成、等温热特性及结晶动力学特征。结果 油茶籽油介稳区宽度随着降温速率增大显著扩大,成核诱导期在-20 ℃为关键成核动力学转折点。DSC分析显示,高熔点组分的凝固点为-17.8 ℃,熔点为-6.8 ℃。分提后油茶籽油中饱和脂肪酸显著提升至26.99%,并选择性富集脂质链长L50~L54及低不饱和度u2类脂质;结晶动力学表明,油茶籽油的结晶模式由原油的均相成核转变为异相成核。结论 介稳区、诱导期等结晶动力学参数可用于指导油茶籽油熔融层结晶分提工艺。
2026, 42(1):21-29. DOI: 10.13652/j.spjx.1003.5788.2025.80109
摘要:目的 探究黑果腺肋花楸不同热风干燥温度下的水分迁移规律及品质变化。方法 考察热风温度(60,70,80,90 ℃)对黑果腺肋花楸热风干燥曲线和干燥特性曲线的影响,选取常用的适用于果蔬的8种干燥模型进行拟合、分析及验证,筛选出最佳的黑果腺肋花楸热风干燥模型。基于低场核磁共振和成像技术分析干燥过程中水分分布状态及变化规律,并以总酚含量、总黄酮含量、抗氧化能力和花色苷含量为指标,评价不同干燥温度对黑果腺肋花楸品质的影响。结果 黑果腺肋花楸干燥过程中水分比曲线呈指数衰减,通过拟合发现Weibull distribution模型拟合度最好。当热风温度为90 ℃时,黑果腺肋花楸中多酚和黄酮含量最高,分别为0.044 6,0.048 2 mg/g,此时抗氧化能力最佳,DPPH自由基清除率为11.1596%;当热风温度为60 ℃时,黑果腺肋花楸中花色苷含量最高,为0.408 8 mg/g。结论 黑果腺肋花楸的最佳热风干燥温度为90 ℃,此条件下的黑果腺肋花楸品质较为突出。
2026, 42(1):30-35. DOI: 10.13652/j.spjx.1003.5788.2025.80366
摘要:目的 为实现T-2毒素的现场快速筛查,建立聚集诱导发光荧光免疫层析试纸条测定玉米中T-2毒素的分析方法。方法 采用溶胀法制备聚集诱导发光荧光微球,通过静电吸附偶联抗体,得到免疫探针。通过优化试验参数,构建荧光免疫层析试纸条。结果 构建的聚集诱导发光荧光免疫层析法具有良好的线性关系(0.10~5.00 ng/mL),回归方程为y=-0.571 41 lg(x)+0.750 88(R2=0.967 5),方法检测限为0.09 ng/mL,加标回收率为81.82%~92.46%,变异系数低于10%。结论 该方法准确性好,灵敏度高,适用于玉米中T-2毒素的现场大批量筛查。
2026, 42(1):36-42. DOI: 10.13652/j.spjx.1003.5788.2025.80245
摘要:目的 建立一种简洁测定铅的生物有效性的方法,并将其应用于大米中铅的生物有效性评价。方法 探究口腔相、胃相和肠相体外消化中的pH值、消化酶及消化时间对铅释放量的影响,并将其与Caco-2细胞相结合测定大米中铅的生物有效性及生物利用率。结果 在体外模拟胃肠相消化时,最适体外模拟消化条件为胃相pH为1.5,加入胃蛋白酶,消化2 h;肠相pH为7.0,加入胰蛋白酶消化4 h;以Caco-2细胞的表面微绒毛结构、碱性磷酸酶比值及跨膜电阻值为指标构建体外模拟肠相消化模型,并以大米为样品,测得蒸煮前后大米在胃相中铅的生物利用率分别为64.94%~78.70%和57.06%~72.20%,在肠相中铅的生物利用率分别为22.94%~33.77%和21.23%~27.24%,在肠相中生物有效性分别为2.37%~6.28%和1.57%~4.09%。结论 试验建立的方法可用于大米中铅的生物有效性评价,蒸煮能够降低大米在胃肠消化吸收过程中铅的生物利用率和生物有效性,大米中的铅只有极少部分可以通过循环进入身体各处。
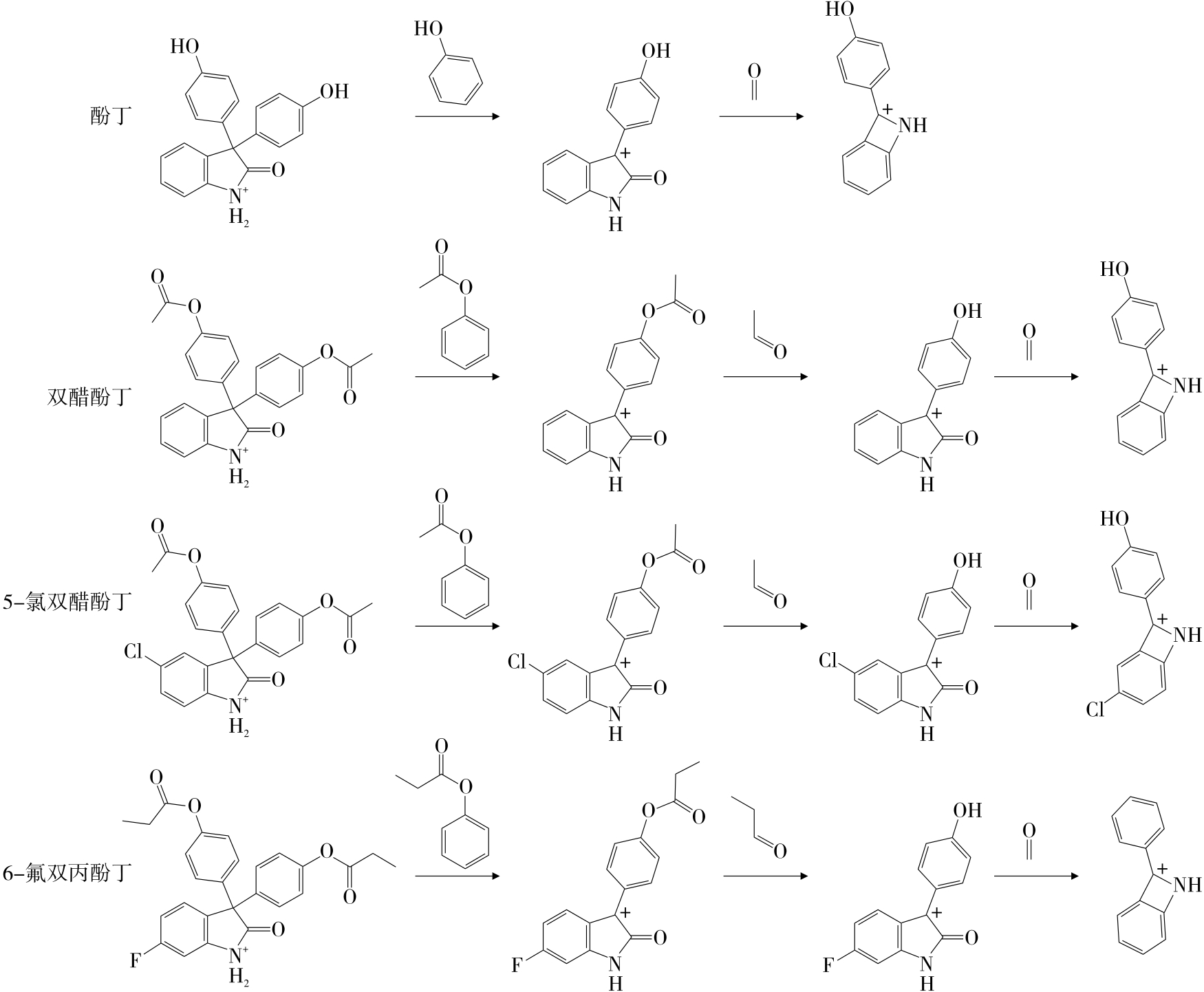
2026, 42(1):43-49. DOI: 10.13652/j.spjx.1003.5788.2025.60042
摘要:目的 运用超高效液相色谱(UPLC)和超高效液相色谱—四极杆—飞行时间质谱(UPLC-Q-TOF-MS),建立减肥食品中非法添加酚丁类化合物的筛查方法。方法 采用标准物质构建紫外光谱库,并通过高分辨质谱建立含保留时间、母离子和特征碎片离子的质谱库。通过二级质谱分析,明确酚丁类化合物的特征裂解途径,确定酚丁类化合物二级质谱特征性碎片离子。并对UPLC-Q-TOF-MS方法的数据分析方法、特异性、检出限和稳健性展开方法学考察。结果 酚丁类化合物光谱特征相似,特征性碎片离子为m/z 224.070 6和m/z 196.075 7,氯代衍生物特征性碎片离子为m/z 258.032 1和m/z 230.037 2,氟代衍生物为m/z 242.061 1和m/z 214.066 2,检出限为0.5~5.0 mg/kg。实际样品检测中检出一种未知酚丁类化合物,经确认其为一种氟代双醋酚丁。结论 该方法抗干扰能力强,稳定性好,适用于减肥食品中酚丁类化合物的快速筛查和确证分析。
2026, 42(1):50-57. DOI: 10.13652/j.spjx.1003.5788.2025.80483
摘要:目的 针对乳制品中9种国际关注而中国暂未设定残留限量的除草剂(黄草灵、环嗪酮、茚嗪氟草胺、达草灭、磺酰草吡唑、砜吡草唑、磺酰磺隆、特丁塞隆和吡喃草酮)的精准检测,建立一种快速测定方法。方法 采用乙腈—丙酮混合试剂(体积比8∶2)超声提取目标物,提取液经分散固相萃取吸附剂氟罗里硅土(Florisil)、N-丙基乙二胺(PSA)和无水MgSO4净化后,建立一种高效液相色谱—串联质谱(HPLC-MS/MS)方法进行测定。结果 9种除草剂在7 min内完全分离,在2.00~100 μg/L范围内线性关系良好(r≥0.997),检出限为0.02~0.30 μg/kg,加标回收率为71.6%~104.1%,相对标准偏差为0.4%~10.3%。结论 该方法操作简便、灵敏度高、重现性好,可用于乳制品中9种除草剂残留的快速测定。
2026, 42(1):58-63. DOI: 10.13652/j.spjx.1003.5788.2024.80989
摘要:目的 开发一种基于Waters TQ-XS三重四极杆液相质谱联用仪的高效检测方法,用于鉴别鸭肉冒充牛羊肉的现象。方法 通过高效液相色谱串联质谱(HPLC-MS/MS)技术,筛选和验证牛肉、羊肉和鸭肉的特异性多肽离子对,建立多反应监测(MRM)模式下的定性和定量分析方法,进行样品的前处理及质谱条件优化。结果 该方法具有良好的线性关系(R2>0.99),灵敏度高,最低定量限为0.5%。不同掺假比例下的检测结果表明,该方法能够准确、快速地鉴别和定量鸭肉冒充牛羊肉的样品。实际样品检测结果与PCR方法一致。结论 该方法在样品处理和灵敏度方面表现出较好的性能,适用于肉制品中鸭肉掺假牛羊肉的快速鉴别与定量分析,可为肉类产品质量控制、市场监管以及防范肉类掺假行为提供有效的技术支持。
2026, 42(1):64-71. DOI: 10.13652/j.spjx.1003.5788.2025.80113
摘要:目的 针对卧式碾米机在碾米过程中造成颗粒破碎和过碾的问题,提出通过改变吸风气流方向提高糙米颗粒的碾磨质量。方法 采用CFD-DEM耦合方法,分别对上吸风10 m/s、下吸风5 m/s和无风速3种状态进行数值仿真分析,并通过物理样机碾磨试验验证仿真结果。结果 随着气流方向由上吸风转变到下吸风,颗粒沿Y轴的上升速度vy及三轴合成平均速度v整体降低,同层段位置处上吸风颗粒速度vy大于下吸风的,在碾白室中下部处明显观察到上吸风颗粒平均速度v大于下吸风颗粒的,碾磨区域内颗粒运动能力的差异导致容易过碾和破损区域的受力情况明显不同,颗粒运动能力强时碾白室底部颗粒受到的挤压力减小,颗粒运动能力弱时碾白室底部颗粒受到的挤压力增大;颗粒翻滚角速度在上吸风的作用下,对比无风速和下吸风效果增强;每种状态下3次的物理试验结果,上吸风10 m/s、无风速和下吸风5 m/s的碾磨度平均值分别为1.90%,2.20%,2.78%,破损率平均值分别为0.37%,0.46%,0.60%。结论 上吸风状态下颗粒碾磨过程中的流动和受力特性优于无风速和下吸风的情况;上吸风比无风速和下吸风的碾磨度和破碎率明显下降。
2026, 42(1):72-78. DOI: 10.13652/j.spjx.1003.5788.2024.60147
摘要:目的 解决樱桃筛选效率低、成本高的问题。方法 提出一种基于热力图回归方法HRNet-YT,用于自动识别樱桃大小和果梗有无,实现高效筛选。HRNet-YT通过构建多个平行子网络实现多尺度信息融合,保持高分辨率表达,确保果梗和果萼关键点热力图的空间准确性。结合热力图技术捕捉丰富的上下文信息,并优化损失函数以提升模型的鲁棒性和精度。结果 HRNet-YT-W48(384×288)在数据集上的检测准确率为87.3%,关键点平均精度(AP,OKS=0.5)为0.22。结论 试验提出的方法在樱桃关键点检测任务中具有较高的准确性和适应性。
2026, 42(1):79-85. DOI: 10.13652/j.spjx.1003.5788.2025.60141
摘要:目的 自动导引运输车在搬运过程中,需定位的托盘孔位中存在的细小、形变、低对比度孔位的视觉定位不准的问题。因此,提出一种基于改进YOLOv5s的自动导引运输车托盘孔位视觉定位方法。方法 结合ShuffleNetV2的通道混洗操作改进和CBAM注意力机制改进,对基本YOLOv5s框架进行改进,使其聚焦于形变关键区域中亚像素级边界模糊的孔位区域;基于SloU损失函数关注微小孔位,并计算托盘孔位在相机坐标系下的空间三维坐标,得到相机坐标系到孔位区域坐标系的变换关系,采用改进的YOLOv5s框架输出AGV机械臂坐标系下的托盘孔位三维坐标。结果 试验方法可有效捕捉亚像素级定位精度边界,绝对误差<0.03 cm,相对误差<0.83%;F1分数、mAP指标分别为95.2%、94.8%;浮点运算次数、参数量和模型体积分别为4.8 G、2.6 M、4.28 MB。结论 试验方法有效解决了需定位托盘孔位中存在的细小、形变、低对比度孔位的视觉定位难题,提升了自动导引运输车托盘搬运效率。
2026, 42(1):86-92. DOI: 10.13652/j.spjx.1003.5788.2025.80129
摘要:目的 实现对人参果损伤程度的准确、无损检测。方法 通过自由落体碰撞方式制备不同损伤级别的人参果样本,采集各类样本高光谱数据,分析4种不同预处理方法对随机森林(RF)分类模型的影响。采用连续投影算法(SPA)、竞争性自适应重加权算法(CARS)对预处理后的光谱数据进行特征波长提取,构建偏最小二乘法判别分析(PLS-DA)、支持向量机(SVM)和RF 3种机器学习分类模型并进行对比分析。利用贝叶斯(BO)算法对最优模型的超参数进行寻优。结果 标准正态变换(SNV)预处理后模型分级效果最佳,预测集准确率达到78.89%;特征波长提取后,分级准确率有所提高,SNV-CARS-RF模型表现出了最佳分级性能,预测集准确率为92.78%;最后经BO算法对SNV-CARS-RF模型的4个超参数完成优化,模型准确率提升至100%。结论 使用高光谱技术结合机器学习算法能够实现对不同损伤级别的人参果准确检测。
2026, 42(1):93-100. DOI: 10.13652/j.spjx.1003.5788.2024.81175
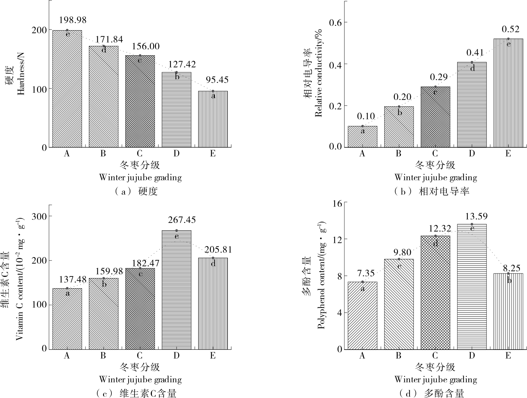
摘要:目的 针对冬枣新鲜度判别需求,提出一种基于深度学习的判别方法,将冬枣分为5个新鲜度阶段,旨在提高判别准确性并减少光线反射影响。方法 提出了一种结合高效ResNet、注意力机制与Faster R-CNN的冬枣新鲜度判别方法。利用ResNet对图像进行卷积处理,提取全局特征图;通过通道注意力模块强化关键特征,结合特征金字塔网络(FPN)提取多尺度信息。Faster R-CNN从中选取候选区域,经过ROI池化后输入全连接层,通过多角度损失函数优化模型性能。通过硬度、电导率、维生素C和多酚含量等理化指标验证模型效果。结果 改进的Faster R-CNN模型在新鲜度判别上的准确率达到98.60%。结论 改进的Faster R-CNN模型在小规模样本下的表现优于现有方法。
2026, 42(1):101-110. DOI: 10.13652/j.spjx.1003.5788.2025.80137
摘要:目的 确定面包的最佳贮藏期。方法 分析贮藏期间(0,1,2,3,4,5,6,7 d)面包的感官、理化和挥发性风味物质的变化。结果 贮藏期间,面包无明显霉斑,当贮藏时间>5 d时,面包开始出现轻微的酸败味。整个贮藏期间,面包的pH值、菌落总数不断增加,水分含量、水分活度、比容不断下降。在风味特性上,共检测到48种化合物,主要为醇类和酸类。通过主成分分析发现,不同贮藏期间面包之间的风味具有显著性差异,当贮藏时间>5 d时,面包的风味与初期0 d的差异显著,通过PLS-DA分析共筛选10种VIP>1的物质(如异丁酸、异丁醇-D等),这些物质对于区分面包的新鲜度具有重要贡献作用。结论 面包在7 d的贮藏期内,其品质随着时间延长而显著劣化,尤其是在贮藏时间超过5 d后,风味和感官品质发生明显转变。
2026, 42(1):111-119. DOI: 10.13652/j.spjx.1003.5788.2025.80133
摘要:目的 探究从紫芝发酵菌丝体中鉴定出的具有抑制血管紧张素转化酶的活性肽Asp-Leu-Ala-Pro(DLAP)的关键非核糖体肽合成酶(non-ribosomal peptide synthetase,NRPS)基因。方法 采用PEG介导遗传转化试验,qRT-PCR和HPLC分析关键NRPS基因对紫芝合成活性肽DLAP的影响。结果 qRT-PCR分析阳性转化子菌株内的基因表达量显示,与野生型相比较,基因GSI_00900的3个沉默转化子的基因表达量分别下调了44.99%,68.88%,66.17%,基因GSI_10299的3个沉默转化子的基因表达量分别下调了74.11%,78.01%,75.76%,基因GSI_10830的2个沉默转化子的基因表达量分别下调了30.55%和76.99%,基因GSI_11441的8个沉默转化子的基因表达量下调范围为19.43%~84.80%;HPLC对阳性转化子的表型进行初探,发现筛选到的每个阳性转化子内DLAP的含量均比野生型低(P<0.05)。结论 GSI_00900、GSI_10299、GSI_10830、GSI_11441 4种NRPS基因是合成活性肽DLAP的关键基因。
2026, 42(1):120-130. DOI: 10.13652/j.spjx.1003.5788.2025.80746
摘要:目的 探讨阿胶蜂蜜复配物对小鼠抗氧化活性及肠道菌群的调节作用及变化特征。方法 将70只SPF级雄性BALB/c小鼠随机分为7组(每组10只),分别为空白对照组、模型对照组、阿胶组(0.5 g/kg BW)、蜂蜜低剂量组(1.0 g/kg BW)、蜂蜜高剂量组(2.0 g/kg BW)、复配低剂量组(阿胶、蜂蜜剂量分别为0.5,1.0 g/kg BW)、复配高剂量组(阿胶、蜂蜜剂量分别为0.5,2.0 g/kg BW)。除空白组外,其余组别均建立氧化应激模型,持续干预30 d后检测相关指标。结果 复配高剂量组较阿胶组以及蜂蜜组显著降低了脂质过氧化产物(MDA)和蛋白质羰基(PCO)水平,同时提升了超氧化物歧化酶(SOD)及还原型谷胱甘肽(GSH)水平(P<0.05),证实复配物具有协同抗氧化效应,且高剂量组效果最优。复配物通过抑制肿瘤坏死因子-α(TNF-α)、白介素-6(IL-6)以及白介素-1β(IL-1β)水平来减轻机体炎症反应。肠道内容物中微生物菌群基因组测序结果显示,单独摄入阿胶或蜂蜜对于菌群的影响并不显著,而摄入阿胶蜂蜜复配物可以改善微生态失调和失衡,其中高剂量组的复配物有着更好的效果;摄入低剂量和高剂量复配物的小鼠肠道微生物菌群中拟杆菌门相对丰度增加,厚壁菌门相对丰度减少。结论 阿胶蜂蜜复配物通过其协同抗氧化活性,有效增强了机体的自由基清除能力,同时调节菌群平衡,显著减轻氧化应激损伤,有助于维持肠道微环境的稳态。
2026, 42(1):130-138. DOI: 10.13652/j.spjx.1003.5788.2024.81246
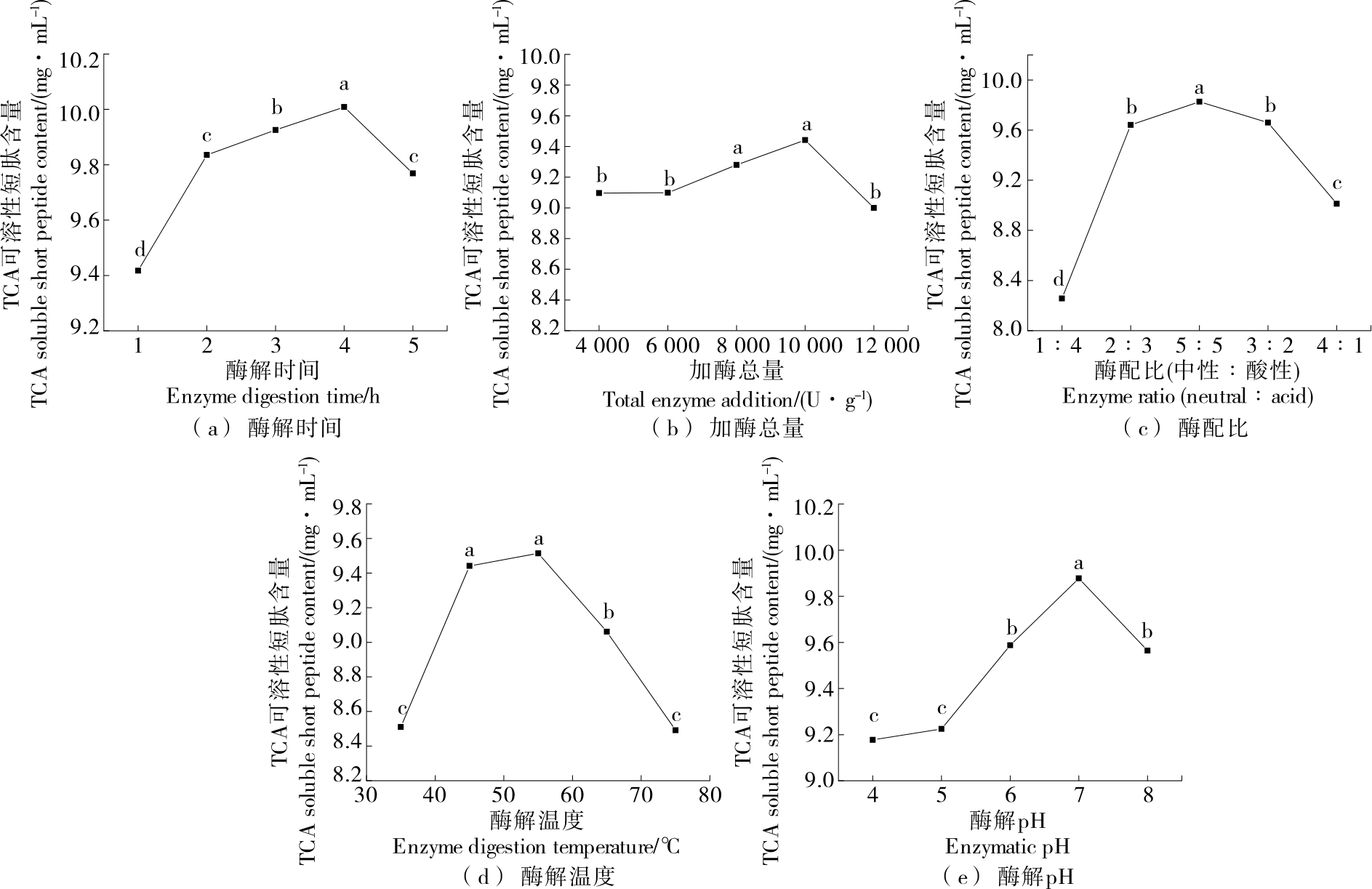
摘要:目的 为提高略阳乌鸡附加值,制备略阳乌鸡低聚肽,并测定其抗氧化活性。方法 以略阳乌鸡肉为原料,利用两种蛋白酶复合酶解,采用响应面法优化略阳乌鸡低聚肽制备工艺,并进行抗氧化活性评价。结果 略阳乌鸡低聚肽双酶复合酶解的最佳制备工艺为采用中性蛋白酶和酸性蛋白酶复合,底物质量浓度3 g/100 mL,酶解时间4 h,酶添加总量9 300 U/g,酶解pH 6.5,酶配比1∶1。该条件下,酶解产物中三氯乙酸(TCA)可溶性短肽含量最高,为10.29 mg/mL,与预测值接近,蛋白回收率为71.52%。略阳乌鸡低聚肽对DPPH自由基、ABTS+自由基、羟自由基的IC50分别为4.675 mg/mL、31.401 μg/mL、4.769 mg/mL,且10 mg/mL略阳乌鸡低聚肽的还原能力接近于0.02 mg/mL的抗坏血酸。结论 试验工艺可以获得较多具有抗氧化活性的略阳乌鸡低聚肽。
2026, 42(1):139-144. DOI: 10.13652/j.spjx.1003.5788.2024.80884
摘要:目的 探究显齿蛇葡萄叶提取物的黄酮化合物组成及抗氧化活性。方法 采用高效液相色谱法对提取物的黄酮化合物进行定性鉴定和定量测定,以茶多酚和维生素C为对照,测定提取物对羟、DPPH、超氧阴离子、ABTS+ 4种自由基的清除能力,并分析提取物在薯片贮藏过程中的抗氧化效果。结果 提取物中黄酮和多酚含量分别为41.07%,45.50%;提取物中存在5种黄酮化合物,分别为二氢杨梅素、花旗松素、牡荆素、芦丁和槲皮素,其中二氢杨梅素为显齿蛇葡萄主要的黄酮化合物;提取物对羟、DPPH、超氧阴离子、ABTS+ 4种自由基的清除率高于相同质量浓度的茶多酚和维生素C,说明提取物的体外抗氧化能力比对照品的强;酸性条件下提取物的抗氧化能力比中性和碱性条件下的强;贮藏8个月内,提取物对薯片具有显著的抗氧化效果(P<0.05)。结论 显齿蛇葡萄提取物中抗氧化活性成分含量高达86%,具有很强的抗氧化能力,可作为食品抗氧化剂和功能食品的开发原料。
2026, 42(1):145-152. DOI: 10.13652/j.spjx.1003.5788.2025.80690
摘要:目的 以乳酸菌发酵改性膨化玉米全粉为研究对象,探讨其对面团加工特性的影响。方法 以发酵温度、发酵时间和乳酸菌接种量为关键影响因素,先进行单因素试验,再通过响应面法优化发酵工艺参数;随后将改性与未改性膨化玉米全粉按不同比例复配,探究其对面团质构特性与蒸煮损失率的影响。结果 最优发酵工艺为乳酸菌菌悬液浓度3×107 CFU/mL、发酵时间18 h、发酵温度39 ℃;该条件下,改性与未改性玉米全粉按质量比6∶4复配,面团的硬度最低(7.63 N),蒸煮损失率最小。结论 乳酸菌发酵可有效改善膨化玉米全粉的加工特性,优化其面团质构与蒸煮特性。
2026, 42(1):153-160. DOI: 10.13652/j.spjx.1003.5788.2024.80941
摘要:目的 采用酶提取法优化黑参多糖(BGP)提取工艺,并考察其抗氧化活性。方法 采用正交工艺法优化复合酶提取BGP的最佳用量,采用响应面法优化复合酶提取BGP工艺条件,并利用DPPH自由基法、ABTS+自由基法评价黑参多糖的体外抗氧化活性。结果 最佳复合酶配比为120 mg纤维素酶、120 mg果胶酶、80 mg木瓜蛋白酶;最佳酶解工艺条件为酶解料液比1∶50 (mg/mL),pH 7.5,提取时间2.5 h,提取温度45 ℃,此时BGP得率最高可达(20.04±0.14)%;当黑参多糖质量浓度为3 mg/mL时,对DPPH自由基和ABTS+自由基的清除率分别为54.38%和92.14%。结论 复合酶提取BGP得率高,工艺稳定可行,且该BGP具有一定的抗氧化活性。
2026, 42(1):161-169. DOI: 10.13652/j.spjx.1003.5788.2024.81195
摘要:目的 研究芒果核仁多酚的提取纯化工艺及抗氧化性能。方法 采用正交试验优化芒果核仁粗多酚提取工艺及大孔树脂柱层析法进一步分离纯化芒果核仁多酚提取物,以维生素C为对照考察纯化前后芒果核仁多酚的抗氧化活性。结果 芒果核仁多酚的最佳提取工艺为料液比1∶40 (g/mL),50%乙醇,浸提温度65 ℃,提取时间70 min,该条件下多酚含量为9.93 mg/g; LX-17吸附—解吸效果最好,静态吸附和解吸平衡时间为2.5 h;动态吸附—解吸条件为上样液浓度300 μg/mL,体积40 mL,流速3 mL/min;洗脱剂乙醇体积分数50%,320 mL,流速2 mL/min。此条件下芒果核仁多酚含量从9.93 mg/g提高到35.68 mg/g。纯化后芒果核仁多酚对DPPH自由基、ABTS自由基、羟自由基、O
2026, 42(1):170-175. DOI: 10.13652/j.spjx.1003.5788.2024.80928
摘要:目的 探究菊粉对非发酵速冻油条品质的影响。方法 以不同聚合度的菊粉为研究对象,测定不同的菊粉添加量0%,0.75%,1.50%,2.25%,3.00%(质量分数)对非发酵速冻油条的水分含量、含油量、比容、色泽、质构特性、感官评价的影响。结果 3种不同聚合度的菊粉在一定的添加量范围内能有效提高非发酵速冻油条的水分含量和比容,降低含油量,过量则会带来负面效果。随着3种聚合度菊糖的加入均可增加非发酵速冻油条的硬度,并随着添加量的增加呈先上升后下降趋势。结论 与空白组相比,适量添加菊粉可提升产品的色泽,增大油条的比容,改善油条的食用品质。
2026, 42(1):176-184. DOI: 10.13652/j.spjx.1003.5788.2025.80057
摘要:目的 研制出一种营养丰富,风味独特的藜麦魔芋挂面,改善传统小麦挂面的品质;探讨藜麦魔芋挂面的品质评价方法,弥补当前挂面品质评价方法的不足。方法 对不同藜麦粉添加量、水添加量、魔芋精粉添加量和熟化时间的藜麦魔芋挂面的蒸煮品质、质构特性和感官特性进行测定,藜麦魔芋挂面品质评价采用多个藜麦魔芋挂面品质指标结合模糊数学的模糊综合评价法,在单因素试验基础上,用响应面试验优化了藜麦魔芋挂面最佳配方。结果 藜麦魔芋挂面最佳配方为藜麦粉添加量22.40%,水添加量48.40%,魔芋精粉添加量1.80%,熟化时间19 min。此条件下,藜麦魔芋挂面的蒸煮损失率为(8.27±0.04)%,硬度为(49.52±0.06) N,胶黏性为3 116.61±7.27,咀嚼度为3 066.16±5.41,感官评分为87.1±0.2,综合评分为61.45±0.13。结论 制备的藜麦魔芋挂面口感顺滑,富有弹性,硬度适中,呈明显藜麦黄色,具有特殊的藜麦风味。模糊综合评价法可以更准确地评价藜麦魔芋挂面的品质。
2026, 42(1):185-193. DOI: 10.13652/j.spjx.1003.5788.2024.80813
摘要:目的 以粳米、糯米混合米粉为主要原料,添加茶末副产物制备茶香年糕并分析其品质。方法 通过单因素探究茶末添加量、白砂糖添加量及粳糯比对茶香年糕感官评价和质构的影响,在基于模糊数学感官评价和质构综合加权评分的基础上通过正交试验优化茶香年糕最佳制备工艺,并分析其理化和体外消化特性。结果 在茶末添加量5 g、白砂糖添加量7.5 g和粳糯比(m粳米∶m糯米)1∶1的条件下制备的年糕色泽嫩绿,有适宜的黏弹性,口感柔韧。茶香年糕流变学特性呈典型的凝胶态,弹性贡献大;相较于传统年糕,茶香年糕水分含量更高,快消化淀粉和抗性淀粉含量也高,淀粉消化速率更加平缓。结论 适量添加茶末可以有效改善年糕的黏弹性和消化特性,优化后的茶香年糕较传统年糕整体品质更佳。
2026, 42(1):194-201. DOI: 10.13652/j.spjx.1003.5788.2025.80279
摘要:南美白对虾(Litopenaeus vannamei)是中国主要的虾类养殖品种之一,随着养殖技术的快速发展,其产量逐年增加,成为沿海地区出口创汇和乡村振兴的重要经济支柱。南美白对虾的主要加工产品集中在虾仁、虾球、冷冻全虾以及冷冻预制虾等,加工过程中产生了大量的虾头和虾壳等副产物,利用程度低,资源浪费、环境污染以及副产物再利用问题日益受到关注。文章综述了南美白对虾加工副产物的营养及功能成分,并探讨了其提取与回收技术,如超临界CO2萃取、酶解法和微生物发酵法,还分析了这些成分在食品和医药等领域的高值化利用现状,明确了当前研究的技术瓶颈,展望了未来创新方向。
2026, 42(1):202-212. DOI: 10.13652/j.spjx.1003.5788.2025.80021
摘要:近年来,蛋白质基纳米载体因其良好的生物相容性和优越的递送效率而受到广泛关注。然而,单一蛋白质载体存在环境敏感性高、靶向性不足及体内循环稳定性差等问题。文章聚焦蛋白质基纳米递送体系的最新研究进展,对常见的自组装技术、闪蒸纳米沉淀法、pH驱动法等构建策略进行了总结和归纳,阐明了不同方法在粒径控制、包封率等方面的优势与局限性,重点阐释了蛋白质与多糖、无机纳米材料、脂质及聚合物构成的复合体系的偶联机制、制备方法以及应用优势,并展望了蛋白质基复合递送系统未来可深入探索的研究方向。
2026, 42(1):213-220. DOI: 10.13652/j.spjx.1003.5788.2025.60165
摘要:当前食品工业对智能化、精准化技术需求不断攀升,智能响应型水凝胶作为一种新兴的功能材料,在食品可控释放与品质监测方面展现出巨大应用潜力。文章综述了近年来智能响应型水凝胶的基材选择与交联方式、刺激响应类型及作用机制方面的研究进展,阐述了智能水凝胶在食品活性物质可控释放系统中的设计与应用,涵盖抗菌包装、营养强化与风味控释等方向;同时对智能响应型水凝胶在食品品质监测中的应用进行了概括,包括食品安全检测与食品新鲜度监测中的应用,并展望了未来智能响应型水凝胶的发展趋势。
2026, 42(1):221-229. DOI: 10.13652/j.spjx.1003.5788.2025.80391
摘要:桑叶是药食同源的重要原料,富含多种营养活性成分,加工成的桑叶茶具有抗氧化、降血糖、降血脂、抗炎等生理功能,已成为健康食品领域的研究热点。萎凋、杀青、发酵、干燥及胁迫处理等加工工艺会影响桑叶茶的风味品质和营养活性成分的种类与含量,进而影响产品的营养品质与保健功效。文章重点介绍了萎凋、杀青、发酵、干燥及胁迫处理等加工工艺对桑叶茶感官品质和营养活性成分的影响,并对桑叶茶加工工艺优化、功能性产品开发进行了展望。
2026, 42(1):230-237. DOI: 10.13652/j.spjx.1003.5788.2025.80085
摘要:目的 防止采后水果腐烂及延长水果的保质期,提出一种强韧、耐水和自愈的多功能可食用保鲜涂膜。方法 通过扫描电子显微镜、傅里叶红外变换光谱、X-射线粉末衍射仪、质构仪和流变仪等仪器测定了可食用保鲜涂膜的微观形貌、化学结构、理化性质、机械性能及其对香蕉保质期的影响。结果 可食用涂膜内部单体之间以氢键、酯键和静电相互作用交联,表面呈不规则网状结构,断裂伸长率为71.73%,机械强度为51.48 MPa,且具有良好的疏水性、水蒸气和氧气阻隔性。采后香蕉保鲜试验表明,可食用膜不仅能有效减缓香蕉失重和软化,延缓香蕉果肉成熟,并且将香蕉的货架期延长至8 d。结论 该多功能可食用涂膜可用于食品包装以延长采后水果的保质期。
2026, 42(1):238-242. DOI: 10.13652/j.spjx.1003.5788.2025.80671
摘要:探究“传统纹样+AI”新模式下湖南茶叶包装的创新设计形式。基于“传统纹样+AI”模式下的Stable Diffusion 模型技术,对马王堆丝织品刺绣纹样进行创新转化,并应用在君山银针茶叶包装设计中。研究结果表明,通过Stable Diffusion模型技术成功实现了马王堆丝织品刺绣纹样的智能生成,将生成后的纹样应用于君山银针茶叶包装设计,形成了风格鲜明、辨识度高的包装方案,且纹样与茶叶产品属性、包装结构适配度良好,有效实现了传统纹样在茶叶包装中的创新性应用。
2026, 42(1):243-248. DOI: 10.13652/j.spjx.1003.5788.2025.60089
摘要:从移情理论对儿童食品包装设计的补强作用来看,该理论目前在儿童食品包装设计中的应用主要是以共情为切入点,通过具象化儿童心理共情、隐性传递家长价值共情,最终实现儿童与家长的双向情感连接。通过分析该理论在儿童食品包装设计中的应用场景发现,目前存在儿童心理共情呈现三大断裂点、家长价值传递出现三大障碍、情感传导功能受限于技术瓶颈等问题。对此,需要从提升儿童心理共情的精准适配程度、构建家长价值传递的信任体系、创新情感传导的技术应用模式等不同维度予以完善。
今日访问
您是本站第 访问者 
通信地址:湖南省长沙市天心区万家丽南路二段960号
电话:0731-85258200 E-mail:foodmm@ifoodmm.com 邮编:410114
技术支持:北京勤云科技发展有限公司
版权所有:食品与机械 ® 2026 版权所有

快速检索
友情链接