2025, 41(10):1-10. DOI: 10.13652/j.spjx.1003.5788.2025.80007
摘要:目的 研究食品源乳酸片球菌N8的生物学特性和体外益生功能,制备高活性(>1012 CFU/g)喷雾干燥益生菌制剂。方法 对分离自干酪的一株乳酸菌(N8)进行形态学和细菌16S rDNA基因序列分析鉴定,通过生长特性、安全性、耐受性、抑菌能力、黏附能力以及抗氧化能力等确定其益生潜力,并进行喷雾干燥制备益生菌制剂,筛选出高活性喷雾干燥保护剂。结果 结合16S rDNA基因序列和形态学鉴定N8为乳酸片球菌。乳酸片球菌N8呈快速“S”型生长,其益生特性为无溶血性,对多种抗生素敏感,上清液可以有效抑制多种致病菌的生长;对热、pH、胆盐及模拟胃肠液环境均表现出较强的稳定性,具有较强的黏附能力。乳酸片球菌N8无细胞上清液和完整细胞悬液对DPPH自由基、ABTS自由基和羟自由基均有较强的清除能力。其中,以水牛奶、蛹虫草多糖、谷氨酸钠等物质为保护剂时,乳酸片球菌制剂的活菌数均高达1012 CFU/g。结论 乳酸片球菌N8是一株具有良好益生潜能的食品源乳酸菌,以水牛奶、蛹虫草多糖、谷氨酸钠等作为喷雾干燥保护剂可制备出高活性益生菌制剂。
2025, 41(10):11-19. DOI: 10.13652/j.spjx.1003.5788.2024.81122
摘要:目的 探明熟化方式对国家地理标志农产品——胡陈马铃薯特征挥发性物质差异的影响。方法 以胡陈马铃薯为研究对象,利用气相色谱—离子迁移谱(GC-IMS)结合指纹图谱分析技术,探究4种熟化方式对其挥发性风味物质的影响。结果 胡陈马铃薯挥发性风味物质以醇、醛、酮为主,4种熟化方式对其特征挥发性风味成分产生显著差异。醇物质含量:蒸制>煎制>烤制>炸制,醛物质含量:煎制>炸制>烤制>蒸制,酮物质含量:烤制>蒸制>炸制>煎制。指纹图谱分析显示,相比其余3种熟化方式,煎制可显著提高胡陈马铃薯的果香味。结论 GC-IMS结合指纹图谱技术可实现不同熟化方式土豆挥发性风味成分差异的有效鉴别。
2025, 41(10):20-26. DOI: 10.13652/j.spjx.1003.5788.2025.80400
摘要:目的 建立食品中植物源性过敏原鉴定的DNA条形码检测方法。方法 采用psbA-trnH、trnl和rbcl 3种分子标记对榛果、巴西坚果、澳洲坚果、核桃、山核桃、杏仁、扁桃仁、腰果、开心果、花生和大豆共11个植物源性过敏原物种进行鉴定。从GenBank获取各物种的psbA-trnH、trnl和rbcl基因序列,使用MEGA 11软件进行序列比对、遗传距离计算、系统发育树构建。结果 在psbA-trnH、trnl和rbcl 3个基因序列中,psbA-trnH序列的种间遗传距离差异最大,平均种间遗传距离达0.527 3,高于trnl和rbcl基因序列的。从邻接法(NJ)构建的系统发育树分析结果来看,基于psbA-trnH和trnl序列构建的系统发育树具有良好的分支结构,不同物种能够准确聚类。相比之下,rbcl序列构建的系统发育树无法实现核桃和山核桃、杏仁和扁桃仁的有效区分。综合分析,psbA-trnH序列是区分坚果、花生和大豆等11个物种的最优DNA条形码。将psbA-trnH条形码检测与高通量测序技术相结合用于15个实际样品检测,可以同时检测出多种过敏原成分。结论 psbA-trnH序列作为DNA条形码,能够精准识别常见植物源性过敏原成分。
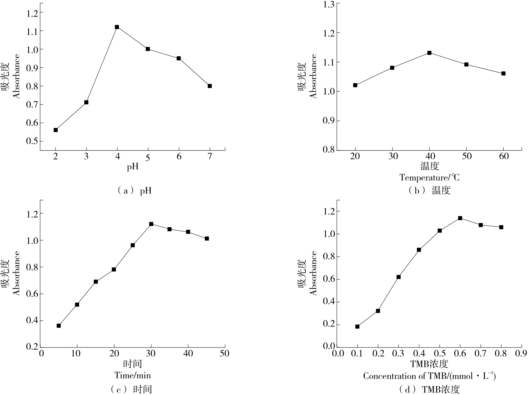
2025, 41(10):27-33. DOI: 10.13652/j.spjx.1003.5788.2024.81316
摘要:目的 构建一种快速检测H2O2的比色分析方法,用于检测牛奶中H2O2。方法 通过还原法将纳米Ag负载在g-C3N4纳米片材料表面,制备出一种新型复合纳米酶材料Ag/g-C3N4。采用X-射线衍射、透射电子显微镜对其结构和形貌进行表征。优化了Ag/g-C3N4催化TMB-H2O2显色反应条件,进行了催化机理和稳态动力学分析。结果 Ag/g-C3N4材料具有良好的类过氧化物酶活性,酶催化反应遵循Michaelis-Menten动力学模型。比色检测体系最佳检测H2O2范围为10~50 μmol/L,检出限为0.05 μmol/L。将该方法用于实际牛奶中H2O2检测时,回收率为99.47%~102.83%。结论 试验构建的比色分析方法制备简单,成本低,灵敏度高,有良好的操作性和实用性。
2025, 41(10):34-42. DOI: 10.13652/j.spjx.1003.5788.2025.80039
摘要:目的 评定氨基酸分析仪测定羊奶粉中含硫氨基酸的不确定度。方法 通过建立数学模型和不确定度来源鱼骨图,分析和量化引入的不确定度分量,计算合成不确定度和扩展不确定度。结果 当胱氨酸和半胱氨酸质量分数为0.305 g/100 g、蛋氨酸质量分数为0.338 g/100 g时,其扩展不确定度分别为0.022,0.023 g/100 g(k=2)。结论 该方法不确定度主要来源于标准物质称量、样品称量和标准系列工作液配制,在样品检测过程中应严格控制。
2025, 41(10):43-47. DOI: 10.13652/j.spjx.1003.5788.2025.60088
摘要:目前食品安全领域行刑衔接存在程序衔接困局主要表现为:食品安全领域行刑衔接的相关法律规范较少、层次低;食品安全领域行刑衔接的各参与主体之间协同性明显不足;食品安全领域行刑衔接案件的移送标准不够清晰、食品安全领域行刑衔接的证据转化衔接不够顺畅等。对此,可以从扩充食品安全领域行刑衔接程序规则的制度规范、明晰食品安全领域行刑衔接的移送制度、构建行政机关与司法机关的多方协作机制、规范行刑衔接的证据认定与运用标准等不同维度,以确保全面有效突破食品安全领域行刑衔接中的程序衔接困局。
2025, 41(10):48-51. DOI: 10.13652/j.spjx.1003.5788.2025.60134
摘要:针对当前食品安全犯罪惩治中普遍存在的“以罚代刑”与“量刑失衡”问题,深入剖析其根源在于《中华人民共和国刑法》与《中华人民共和国食品安全法》之间存在的关键衔接漏洞。该研究揭示了两法衔接不畅的具体表现:① 罪名体系错位导致部分严重危害食品安全的行为未能准确归入相应刑事罪名;② 法律术语冲突造成两法在关键概念界定上存在歧义与不一致,影响法律适用的统一性;③ 刑罚配置失衡表现为法定刑幅度设置过宽、梯度层次模糊,未能精准匹配犯罪行为的危害程度与主观恶性,加之资格刑等针对性惩戒措施的缺位,严重削弱了法律的威慑效能。为解决上述困境,提出系统性的刑罚梯度优化建议,重构罪名体系以严密刑事法网,确保危害行为得到准确定性;细化刑罚梯度,依据行为性质、危害后果及主观要素科学设置层次分明、宽严相济的法定刑幅度;引入资格刑与惩罚性赔偿制度,从剥夺再犯能力与经济重罚双重维度强化惩治力度。
2025, 41(10):52-58. DOI: 10.13652/j.spjx.1003.5788.2024.81203
摘要:目的 为实现方便面面饼中细小异物的高效检测,提出一种小样本学习与特征配准的面饼异常检测方法。方法 采用预训练的残差网络作为特征提取网络,用于高效提取面饼图像的特征;通过引入空间变换网络对图像进行几何变换,以便更好地对特征进行对齐和提取;通过引入特征配准用于对齐图像中的关键特征,确保模型在检测面饼异常时的精确度与泛化能力。结果 在自制的方便面面饼数据集上进行试验,所提方法在5-shot图像级和像素级的曲线下面积分别达到86.2%和93.3%,优于其他方法在面饼数据集上的表现。结论 所提方法在面饼异常检测任务中可以有效检测出细小异物。
2025, 41(10):59-66. DOI: 10.13652/j.spjx.1003.5788.2024.80100
摘要:目的 对80 t鼓泡式生物反应器进行流场模拟分析,改进设备,提升发酵效率。方法 利用计算流体力学对鼓泡式生物反应器内的气液两相流进行数值模拟。采用欧拉—欧拉法和k-ε模型模拟气液两相湍流,并耦合群平衡模型(PBM)预测气泡尺寸,模拟反应器内流型、液速、能量耗散率、气含率和气泡大小分布的情况,根据渗透模型计算反应器内的体积氧传质系数(kLa),分析回流管中的回流角度和直径对反应器供氧能力的影响。结果 回流管对反应器流场影响显著,液速、能量耗散率、气泡大小等受到了回流管正向影响,反应器体积氧传质系数为1 093 h-1。回流管回流角度和回流管直径有交互作用,最优组合为直径150 mm,角度45°,此时体积氧传质系数为1 428 h-1。结论 回流管装置起到了关键作用,能使鼓泡反应器在供氧能力上不低于同规模搅拌反应器。
2025, 41(10):67-74. DOI: 10.13652/j.spjx.1003.5788.2024.80955
摘要:目的 对比不同种类大米的接触参数的差异,为抛光机结构的优化设计提供理论依据。方法 利用台架试验与仿真试验,结合MATLAB软件图像处理技术,通过最陡爬坡试验和二次正交试验,得到了最佳参数组合,并对粳米、粳糯米、籼米、籼糯米4种米粒的接触参数进行了测量和标定。结果 粳米、粳糯米、籼米、籼糯米与钢板间的静摩擦系数分别为0.47,0.46,0.52,0.52,滚动摩擦系数分别为0.069,0.074,0.081,0.075,碰撞恢复系数分别为0.40,0.42,0.43,0.41。进行堆积角测量试验,其中,粳米间静摩擦系数0.34、滚动摩擦系数0.04、碰撞恢复系数0.53;粳糯米间静摩擦系数0.32、滚动摩擦系数0.04、碰撞恢复系数0.45;籼米间静摩擦系数0.37、滚动摩擦系数0.06、碰撞恢复系数0.56;籼糯米间静摩擦系数0.35、滚动摩擦系数0.05、碰撞恢复系数0.54。结论 长粒形籼米、籼糯米的静摩擦系数及滚动摩擦系数要大于圆粒形的粳米、粳糯米,且籼米的滚动摩擦系数也要略大于籼糯米的滚动摩擦系数。
2025, 41(10):75-82. DOI: 10.13652/j.spjx.1003.5788.2025.60112
摘要:目的 通过优化Delta机器人的分拣轨迹,在保证分拣精度的前提下,同时降低综合能耗、缩短运行时间并减小运行冲击。方法 在对食品自动化生产线进行分析的基础上,提出一种结合5次非均匀有理B样条曲线、多目标优化和基于分解的多目标进化算法的食品分拣Delta机器人轨迹优化方法。以综合能耗、运行时间和运行冲击为优化多目标,通过改进的基于分解的多目标进化算法求解,对5次非均匀有理B样条曲线进行优化并验证。结果 该方法提升了食品生产线的工作效率(运行时间降低5.00%),延长了设备使用寿命(运行冲击降低17.32%),并减少了食品损耗。结论 5次非均匀有理B样条曲线与多目标优化的结合,能够有效平衡Delta机器人的高速性与运行平稳性。
2025, 41(10):83-93. DOI: 10.13652/j.spjx.1003.5788.2024.80872
摘要:目的 探究猪肉脯在不同温度贮藏条件下的品质变化规律,预测猪肉脯的货架期。方法 研究猪肉脯在不同温度(25,35,45,55 ℃)贮藏条件下的硬度、色泽(L*值、a*值、b*值)和感官品质的变化情况,并对各个指标进行Pearson相关性分析,采用动力学模型拟合关键指标,结合阿伦尼乌斯(Arrhenius)方程和Q10模型建立货架期预测模型。结果 在25,35,45,55 ℃贮藏条件下猪肉脯的a*值分别从14.79±0.08降低到9.99±0.10,6.88±0.15,4.90±0.25,4.11±0.06。通过Pearson相关性分析,选择a*值作为关键因子建立Arrhenius预测模型,所得的一级动力学方程为
2025, 41(10):94-99. DOI: 10.13652/j.spjx.1003.5788.2024.81298
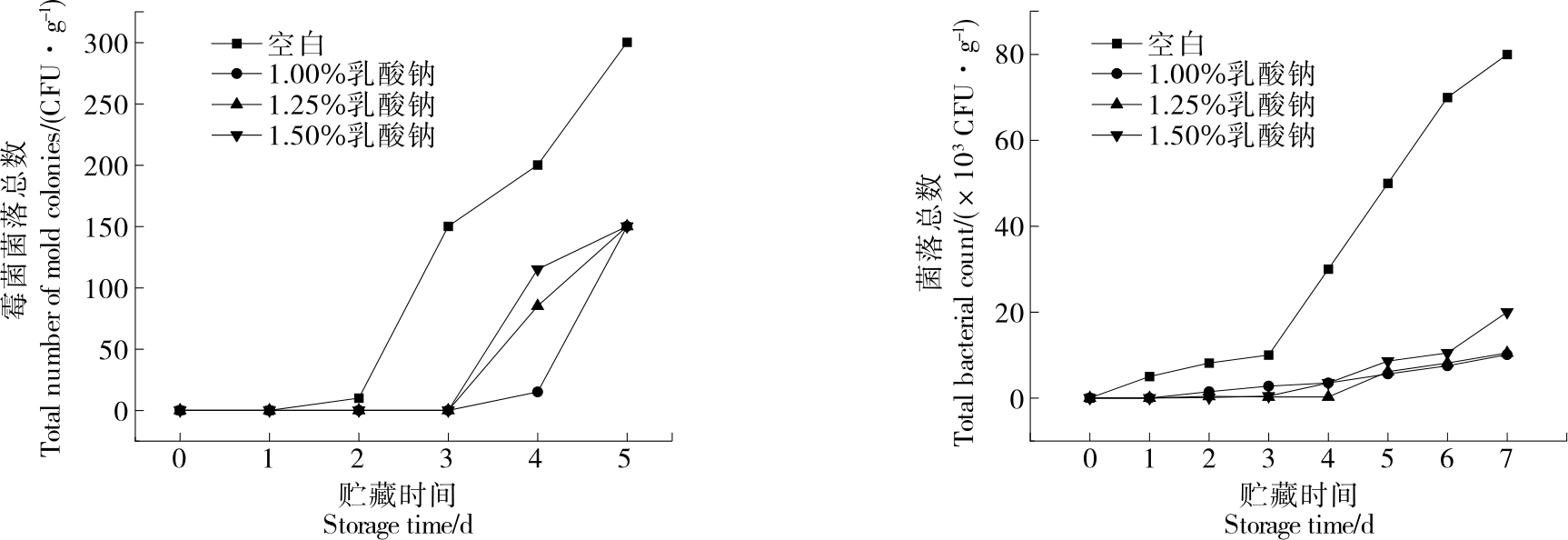
摘要:目的 研究乳酸钠对面包品质特性的影响。方法 在面包生产过程中添加一定比例的乳酸钠(1.00%,1.25%,1.50%),考察乳酸钠添加量对面包质构、低场核磁、水分活度、比容和保质期的影响,并进行风味感官评定。结果 面包质构指标硬度、咀嚼性和胶黏性均随着乳酸钠添加量的增加呈先上升后下降趋势;当乳酸钠添加量为1.25%时,面包硬度最低且弹性最高;面包的持水能力和比容有显著提升。添加1.25%乳酸钠后,面包内部结构更加细腻紧凑,感官评价各指标分数均最高。添加乳酸钠面包保质期由3 d延长到5 d。结论 面包中添加乳酸钠能够改善面包品质,延长保质期。
2025, 41(10):100-111. DOI: 10.13652/j.spjx.1003.5788.2024.81229
摘要:目的 探究贮藏温度对大骨鸡肉干品质的变化规律,并建立基于TBARS值和菌落总数的大骨鸡肉干货架期预测模型。方法 将大骨鸡肉干分别于4,25,37 ℃下贮藏,测定其pH值、挥发性盐基氮(TVB-N)、硫代巴比妥酸值(TBARS)、酸价(AV)、色泽、质构、感官特性及菌落总数变化,并运用Arrhenius方程建立以菌落总数、TBARS值和TVB-N值为品质指标的大骨鸡肉干货架期动力学模型。结果 在3种不同温度下贮藏42 d,大骨鸡肉干的pH值呈先下降后上升趋势,感官评分及L*值呈下降趋势,菌落总数、AV、TBARS值、a*值和b*值均呈上升趋势,硬度和弹性逐渐降低。大骨鸡肉干菌落总数、TBARS值和TVB-N值的活化能分别为24 719.859 0,18 027.872 2,21 092.791 0 kJ/mol,指前因子k0分别为1 375.950 4,30.244 1,898.026 9。经验证,以TBARS值为品质指标的预测模型的相对误差均>10%,以菌落总数和TVB-N值为品质指标的预测模型相对误差在±10%以内,预测效果好。结论 以菌落总数和TVB-N值为品质因子的预测模型可以有效预测4~37 ℃贮藏条件下大骨鸡肉干的货架期。
商文慧,薛长风,CHIN Yaoxian,杭瑜瑜,陈毅然,王刚
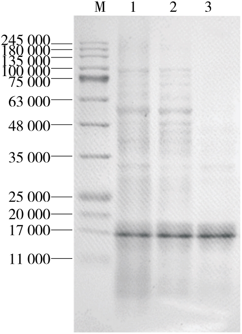
2025, 41(10):112-120. DOI: 10.13652/j.spjx.1003.5788.2024.81062
摘要:目的 探究反复冻融法制备钝顶螺旋藻分离蛋白(Spirulina platensis protein isolate,spPI)条件,对比分离蛋白和市售藻蓝蛋白(commercially processed phycocyanin,cpPC)的理化特性。方法 考察浸泡时间、料液比、冻结时间和冻融次数对分离蛋白提取率的影响;测定分离蛋白和市售藻蓝蛋白的理化特性。结果 浸泡16 h,料液比1∶20 (g/mL),冻结时间9 h,冻融次数10次,蛋白质提取率最佳,为(29.74±0.16)%。分离蛋白和市售藻蓝蛋白在pH 3,4时分别呈现最低溶解度,在pH 5~7,6~7范围内呈现最高溶解度。分离蛋白具有更好的起泡性和泡沫稳定性。分离蛋白和市售藻蓝蛋白在pH 6~7,7时乳化活性最强。结论 相较于分离蛋白,市售藻蓝蛋白拥有更高的总巯基、游离巯基和二硫键含量。钝顶螺旋藻分离蛋白拥有更好的溶解性和起泡性。
2025, 41(10):121-125. DOI: 10.13652/j.spjx.1003.5788.2024.80634
摘要:目的 探究油茶籽油、苦杏仁油、花生油的抗氧化活性及降血脂功能。方法 通过体外抗氧化试验、体外降血脂试验对3种油脂的抗氧化和降血脂活性进行了评价。结果 DPPH自由基清除能力排序为油茶籽油>苦杏仁油>花生油,超氧阴离子自由基清除能力排序为油茶籽油>苦杏仁油>花生油,羟自由基清除能力排序为油茶籽油>苦杏仁油>花生油。在1 mg/mL的质量浓度下,油茶籽油对牛磺胆酸盐和甘氨胆酸盐的结合率分别为46.72%,56.14%;苦杏仁油对牛磺胆酸盐和甘氨胆酸盐的结合率分别为45.73%,52.87%;花生油对牛磺胆酸盐和甘氨胆酸盐的结合率分别为43.67%,55.23%。结论 油茶籽油体外抗氧化能力和降血脂作用皆最佳,可进一步开发和利用。
2025, 41(10):126-131. DOI: 10.13652/j.spjx.1003.5788.2025.80080
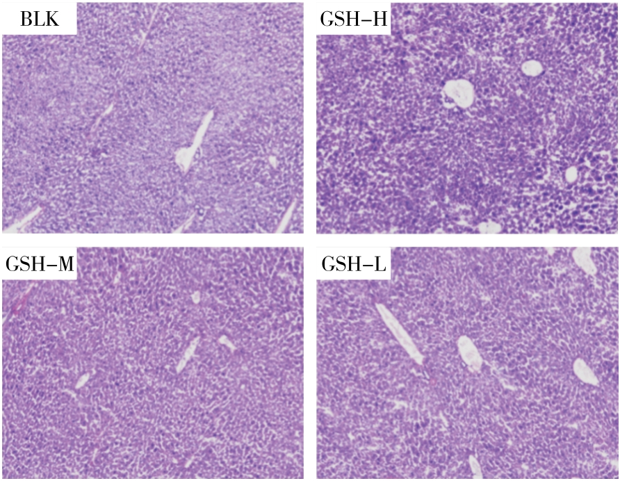
摘要:目的 探究外源性谷胱甘肽对老龄小鼠体内抗氧化能力的改善作用。方法 选取老龄小鼠作为研究对象,连续30 d灌胃不同剂量的谷胱甘肽(166.7,83.3,41.7 mg/kg),测定小鼠血清和肝组织匀浆中丙二醛(MDA)、8-异构前列腺素、蛋白质羰基(PCO)和还原型谷胱甘肽含量,以及总超氧化物歧化酶(T-SOD)和谷胱甘肽过氧化酶(GSH-PX)活力。结果 与空白对照组相比,外源性谷胱甘肽高剂量组能够显著降低老龄小鼠体内MDA和PCO含量,提高小鼠血清中T-SOD活力,提高老龄小鼠体内还原型谷胱甘肽含量(P<0.05),且受试物对老龄小鼠体重增长及脏器指数无不良影响。结论 谷胱甘肽对机体衰老过程中的氧化应激状态具有良好的改善作用。
2025, 41(10):132-140. DOI: 10.13652/j.spjx.1003.5788.2024.81154
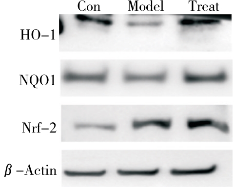
摘要:目的 探究一种复合主食(compound staple food,CSF)对H2O2诱导人体肝癌细胞(HepG2)的氧化损伤的保护作用及机制。方法 通过DPPH自由基和ABTS自由基清除试验评估CSF的体外抗氧化能力。采用H2O2诱导HepG2细胞建立氧化应激模型,利用CCK-8法测定其对细胞存活率的影响;通过检测活性氧(ROS)、线粒体膜电位(JC-1)、丙二醛(MDA)和超氧化物歧化酶(SOD)含量,评估CSF对细胞氧化应激的影响,采用细胞流式检测CSF对细胞凋亡的影响,通过Western Blot分析氧化损伤相关蛋白(Nrf2、HO-1、NQO-1、Bax、Bcl2)的表达变化。结果 CSF能够有效清除DPPH自由基和ABTS自由基。与模型组相比,治疗组提高了H2O2诱导的HepG2细胞存活率,降低了ROS水平,减缓了线粒体膜电位下降,增加了SOD活性,降低了MDA含量,并减轻了Nrf2核易位。CSF处理可减少细胞凋亡率,与模型组相比细胞凋亡率减少了8%。Western Blot结果表明,CSF可上调Nrf2、HO-1和NQO-1的表达,增加Bcl2水平,并下调Bax表达。结论 CSF通过激活Nrf2/HO-1通路、调节Bcl2/Bax通路改善H2O2导致的HepG2细胞氧化损伤。
2025, 41(10):141-149. DOI: 10.13652/j.spjx.1003.5788.2025.80056
摘要:目的 以牡蛎为原料,采用复合蛋白酶(木瓜蛋白酶、碱性蛋白酶、氨基肽酶)水解制备具有抗氧化活性的牡蛎肽,并评价其抗运动疲劳活性。方法 以水解度和DPPH自由基清除率为考察指标,采用响应面试验优化牡蛎肽制备工艺,并探究牡蛎肽对运动小鼠的疲劳改善作用。结果 牡蛎肽最佳提取工艺为复合蛋白酶添加量4%,酶解pH 7.5,料液比1∶7.5 (g/mL),酶解温度57 ℃,酶解时间7 h,该工艺下牡蛎肽酶解水解度为48.3%,DPPH自由基清除率为60.42%;牡蛎肽中疏水性氨基酸含量为33.18 g/100 g,占氨基酸总量的48.28%,相对分子质量主要集中在5 000以下,低相对分子质量组分(<1 000)占比达71.45%,表明牡蛎肽主要为小分子肽并具有良好的抗氧化能力。小鼠抗运动疲劳试验证明,与空白对照组相比,给予牡蛎肽高剂量干预,小鼠转棒疲劳时间及负重游泳时间分别增加了10.93,13.34 min,运动能力得到显著性提高(P<0.05);同时,牡蛎肽可显著性降低运动后小鼠体内BLA和BUN含量(P<0.05),提高小鼠抗氧化水平,MDA和SOD水平均有显著性改善(P<0.05)。结论 试验制备的牡蛎肽具有较好的抗氧化活性,有助于增强小鼠运动耐力,缓解运动疲劳。
2025, 41(10):150-156. DOI: 10.13652/j.spjx.1003.5788.2024.80975
摘要:目的 开发忍冬药食两用资源,提高忍冬多糖得率,确定忍冬不同器官的抗氧化活性,减少天然药物资源浪费。方法 以忍冬不同器官为原料、多糖得率为考察指标,结合响应面法对多糖提取参数进行优化,确定最佳工艺;测定不同器官忍冬提取物的体外抗氧化活性并结合计量学方法进行分析。结果 提取忍冬多糖的最佳工艺为料液比1∶25 (g/mL),超声温度80 ℃,超声时间60 min,超声功率190 W,该条件下多糖得率达7.01%。抗氧化结果显示,忍冬不同器官均具有抗氧化作用,其强弱为忍冬叶≈金银花>忍冬藤>银花子;聚类分析结果显示,忍冬叶和金银花归为一类,可作为忍冬多糖提取的优选资源。结论 超声辅助法提取忍冬多糖得率高且不同器官提取物能保持高效的抗氧化能力。
2025, 41(10):157-166. DOI: 10.13652/j.spjx.1003.5788.2024.81290
摘要:目的 筛选适宜制备红酸汤半成品辣椒酱的原料辣椒品种。方法 以贵州10种优质辣椒为研究对象,研究不同品种成熟的新鲜辣椒在发酵过程中色泽、总酸、亚硝酸盐、氨基酸态氮、可溶性固形物等品质指标的变化特点以及发酵结束时的辣椒碱和有机酸含量,并对辣椒酱半成品进行感官评价。结果 贵州二荆条、羊角椒、红杭椒、螺丝椒在发酵过程中具有较好的产酸能力、较低的亚硝酸盐含量、较高的氨基酸态氮含量和有机酸含量,且色泽保持较好,整体品质较为优良。小米辣、辣妹子在发酵过程中能保持明亮鲜艳的色泽,但产酸能力、亚硝酸盐含量等指标相对较弱,辣椒碱含量较高,风味协调性不足,感官接受度较低。采用牛角椒制备的辣椒酱半成品辣椒碱含量最低,仅为1.12 μg/g,但在发酵过程中产酸能力较弱,亚硝酸盐含量较高,峰值可达16.49 mg/kg。美人椒、草莓红椒色泽鲜艳,辣度适中,但亚硝酸盐含量较高。对发酵辣椒酱半成品进行主成分分析发现辣椒酱半成品中的发酵品质指标之间存在关联性,进一步构建适用于原料辣椒品种影响红酸汤半成品辣椒酱发酵品质的综合评价模型为Y=0.525Y1+0.286Y2+0.113Y3。结论 红杭椒、贵州二荆条、羊角椒、螺丝椒辣椒酱半成品色泽鲜红明亮,具有典型乳酸发酵香味且品质综合得分较高,适宜用作红酸汤半成品辣椒酱发酵的原料。
2025, 41(10):167-173. DOI: 10.13652/j.spjx.1003.5788.2024.81313
摘要:目的 探讨提取方法对白花和紫红花滇黄精多糖的化学组成及其功能特性的影响。方法 采用传统热水法、碱液法、酸液法、复合酶辅助法、超声辅助法和碱式复合热水法提取多糖,并测定所得多糖的得率、总糖、硫酸根、糖醛酸、DPPH自由基清除能力、α-葡萄糖苷酶抑制能力及酪氨酸酶抑制活性的变化情况。结果 滇黄精多糖的得率及其化学组成成分受提取方法和品种的影响显著。其中,采用传统热水法提取的白花和紫红花滇黄精多糖的得率分别为23.27%和9.58%,总糖含量分别为54.53%和68.59%,硫酸根含量分别为7.28%和35.41%,糖醛酸含量分别为8.26%和10.84%,均表现出较高的水平。此外,滇黄精多糖的DPPH自由基清除能力、α-葡萄糖苷酶抑制能力及酪氨酸酶抑制活性也受到提取方法和品种的影响。通过综合量化评价得出,紫红花滇黄精在这3项功能特性上表现更为优越,复合酶辅助法和传统热水法可作为生产优质滇黄精多糖的有效提取方法。结论 复合酶辅助法和传统热水法是提取滇黄精多糖的最佳方法。
2025, 41(10):174-185. DOI: 10.13652/j.spjx.1003.5788.2024.81258
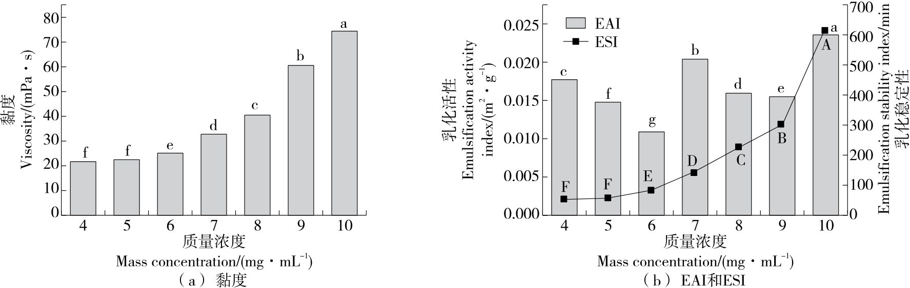
摘要:目的 探究黄原胶—皂角米多糖Pickering乳液超声辅助制备的最佳工艺及稳定性。方法 以皂角米多糖、黄原胶为复合胶体颗粒,玉米油为油相,在黄原胶与皂角米多糖质量比、油相比及超声功率等单因素试验基础上,以乳化活性(EAI)和乳化稳定性(ESI)为指标,通过响应面法优化黄原胶—皂角米多糖Pickering乳液的制备工艺,考察Pickering乳液热稳定性以及盐稳定性。结果 黄原胶—皂角米多糖Pickering乳液的最佳制备工艺:皂角米多糖质量浓度10 mg/mL,黄原胶与皂角米多糖质量比0.05,油相比30%,超声功率350 W,该条件下乳液的乳化活性为(0.056 0±0.000 8) m2/g,乳化稳定性为(575.98±5.45) min;乳液在25~50 ℃及NaCl浓度为0~100 mmol/L的条件下具有良好的乳化稳定性。结论 将黄原胶与皂角米多糖复配,通过超声辅助制备Pickering乳液,改善了乳液的乳化特性,提高了稳定性。
2025, 41(10):186-193. DOI: 10.13652/j.spjx.1003.5788.2024.81170
摘要:目的 研究酶解工艺对香菇风味物质的影响。方法 采用优化后的酶解工艺,以游离氨基酸、5'-核苷酸、等效鲜味浓度(EUC)、挥发性风味物质及感官评价为指标,多角度探讨酶解工艺对香菇风味物质的影响。结果 酶解后,香菇中游离氨基酸含量为19.85 mg/g,为酶解前的1.45倍,其中谷氨酸和天冬氨酸含量分别提升了83.80%,27.13%;5'-核苷酸含量为0.44 mg/g,为酶解前的1.76倍,其中5'-GMP含量提升了166.67%,5'-AMP提升了125.00%;EUC为63.35 g/100 g,为酶解前的2.03倍。酶解前后挥发性成分种类及数量也有较大差异,酶解后综合感官评分显著提高。结论 酶解工艺对香菇中非挥发性风味成分提升有明显效果,并显著改变了香菇的挥发性成分。
2025, 41(10):194-202. DOI: 10.13652/j.spjx.1003.5788.2025.80589
摘要:食品安全是全球公共卫生领域的核心问题,直接关系到人类健康、社会稳定和经济发展。发展可靠、灵敏、高效的检测技术,对食品中有害物监控和保障消费者的健康具有重要的现实意义。近年来,中空型分子印迹材料结合了中空材料优异的吸附性能和分子印迹技术对目标物的高选择性,作为新型吸附材料可用于样品前处理和检测方法的构建中,引起研究者的广泛关注。文章针对中空材料的制备,中空型分子印迹聚合物的制备方法,以及对食品中抗生素残留、农药残留、真菌毒素及其他危害物中的应用实例进行了阐述,并对中空印迹材料建立食品安全检测方法的未来研究方向与发展前景进行了展望。
2025, 41(10):203-212. DOI: 10.13652/j.spjx.1003.5788.2025.80720
摘要:传统石油基包装材料难以降解的特性引发环境污染与食品安全问题,其中微塑料污染已成为全球性挑战。生物质基食品包装材料因其可再生性、可生物降解性和设计灵活性,成为解决上述问题的重要技术路径。现有食品包装材料在环境友好性、食品安全性和功能多样性等方面还存在不足。文章综述了生物质基食品包装材料的构建策略和应用领域,指出了其内在有效性和不足,并进一步探讨了以多功能和智能化为特征的新型食品包装材料的研究进展。
2025, 41(10):213-222. DOI: 10.13652/j.spjx.1003.5788.2025.80801
摘要:低分子果胶是一种从植物细胞壁中提取的天然多糖,因其具有多种生理功能和广泛的应用领域,近年来受到了越来越多的关注。文章对近10年来低分子果胶的提取工艺、生理功能及应用等方面的研究进展进行了综述。提取工艺涵盖传统化学法、酶解法、物理辅助法等;生理功能包括抗肿瘤、降血脂、降血糖、抗氧化、调节肠道菌群等;应用领域涉及食品、医药、化妆品等行业。并对低分子果胶的未来发展方向进行了展望。
2025, 41(10):223-234. DOI: 10.13652/j.spjx.1003.5788.2025.80112
摘要:目的 探索可降解食品接触材料中22种有机磷阻燃剂(OPFRs)迁移量的测定方法和迁移规律。方法 样品分别经4种食品模拟液浸泡,10%乙醇和3%乙酸模拟物经乙腈提取、NaCl盐析处理,橄榄油经甲醇—乙腈(体积比2∶3)提取,50%乙醇食品模拟物过滤后直接测定;OPFRs提取物经C18色谱柱分离,三重四级杆质谱正离子(ESI+)、多反应监测模式测定,基质外标法定量;分析磷酸三苯酯(TPhP)在模拟物中的迁移规律,并应用于可降解食品包装袋和一次性手套中OPFRs迁移量的测定。结果 22种OPFRs加标回收率为76.7%~119.9%,相对标准偏差为0.23%~11.30%,检出限为0.06~1.14 μg/L,定量限为0.20~3.75 μg/L。可降解食品接触材料中TPhP向50%乙醇和橄榄油迁移时,随着浸泡时间和温度的增加,迁移量呈增长趋势。26个样品中OPFRs迁移量样品检出率为76.9%,检出物质为TPhP,仅在50%乙醇和橄榄油中有迁移。结论 可降解食品包装袋和一次性手套长时间接触含油脂食品或乳制品等存在OPFRs迁移至食品中的安全风险。
2025, 41(10):235-242. DOI: 10.13652/j.spjx.1003.5788.2025.60142
摘要:研究探讨了梅山非遗食品包装的文化内涵、现存问题与创新设计路径。发现,当前梅山非遗食品包装在运用傩面具等文化元素传达地方特色方面表达方式单一、流程效率低、市场验证不足等问题依然突出,导致了产品市场吸引力弱化。为此,基于系统性思维引入人工智能生成内容(AIGC),构建了涵盖文化元素数字化提取、本地化用户画像构建、AIGC驱动的视觉创意生成、结构优化设计、结构与材质设计、市场效果模拟以及动态反馈迭代7个阶段的设计流程模型。以“谢亮平”月饼系列食品为案例进行验证,结果表明,该模型不仅提升了设计效率、降低了试错成本,还增强了文化识别与审美共鸣。
2025, 41(10):243-248. DOI: 10.13652/j.spjx.1003.5788.2025.60093
摘要:随着数字技术的快速发展和消费者需求的多样化,休闲食品包装设计正经历着从传统功能型向智能化、交互化、情感化和可持续化的转变。文章分析了数字时代休闲食品包装交互设计的背景和意义,并从技术驱动和用户体验维度系统梳理了相关研究成果。研究发现,智能包装技术、多感官体验设计是当前研究的主要方向。未来,休闲食品包装交互设计将更加注重虚实融合、个性化定制、情感连接和全生命周期可持续性。
今日访问
您是本站第 访问者 
通信地址:湖南省长沙市天心区万家丽南路二段960号
电话:0731-85258200 E-mail:foodmm@ifoodmm.com 邮编:410114
技术支持:北京勤云科技发展有限公司
版权所有:食品与机械 ® 2026 版权所有

快速检索
友情链接